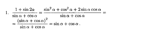
Главная / Готовые домашние задания (ГДЗ) / 9 класс / Алгебра / Зив Б.Г. Гольдич В.А. / Самостоятельные работы, 15. Синус и косинус двойного угла, Вариант 3 Задание: 1


Ответ на Самостоятельные работы, 15. Синус и косинус двойного угла, Вариант 3 Задание: 1
Готовые домашние задания (ГДЗ) Алгебра Зив Б.Г. Гольдич В.А. 9 класс

Дидактические материалы, Зив Б.Г. Гольдич В.А., 2004

Алгебра

9 класс

Дидактические материалы

Автор: Зив Б.Г. Гольдич В.А.

Изд.: Петроглиф

Год: 2004

<< Предыдущее Вернуться к списку Следующее >>
Дидактические материалы, 9 класс, Зив Б.Г. Гольдич В.А., 2004, Самостоятельные работы, 15. Синус и косинус двойного угла, Вариант 3 Задание: 1