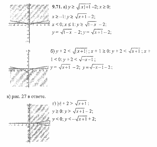
Главная / Готовые домашние задания (ГДЗ) / 9 класс / Алгебра / Галицкий, Гольдман / Уравнения с двумя переменными Задание: 9.71
Ответ на Уравнения с двумя переменными Задание: 9.71
Готовые домашние задания (ГДЗ) Алгебра Галицкий, Гольдман 9 класс

Алгебра
9 класс
Сборник задач
Автор: Галицкий, Гольдман
Изд.: Просвещение
Год: 2011
<< Предыдущее Вернуться к списку Следующее >> |
