Главная / Готовые домашние задания (ГДЗ) / 9 класс / Алгебра / Галицкий, Гольдман / §9. Уравнения и системы уравнений, Уравнения высших степеней Задание: 9.14


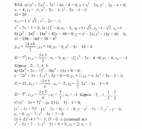
Ответ на §9. Уравнения и системы уравнений, Уравнения высших степеней Задание: 9.14
Готовые домашние задания (ГДЗ) Алгебра Галицкий, Гольдман 9 класс

Сборник задач, Галицкий, Гольдман, 2011

Алгебра

9 класс

Сборник задач

Автор: Галицкий, Гольдман

Изд.: Просвещение

Год: 2011

<< Предыдущее Вернуться к списку Следующее >>
Сборник задач, 9 класс, Галицкий, Гольдман, 2011, §9. Уравнения и системы уравнений, Уравнения высших степеней Задание: 9.14