Главная / Готовые домашние задания (ГДЗ) / 9 класс / Алгебра / Галицкий, Гольдман / Обобщающие проверочные работы Задание: rabota 20


Ответ на Обобщающие проверочные работы Задание: rabota 20
Готовые домашние задания (ГДЗ) Алгебра Галицкий, Гольдман 9 класс

Сборник задач, Галицкий, Гольдман, 2011

Алгебра

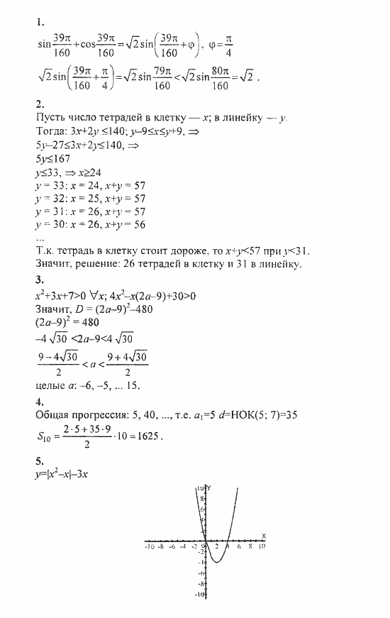
9 класс

Сборник задач

Автор: Галицкий, Гольдман

Изд.: Просвещение

Год: 2011

<< Предыдущее Вернуться к списку 
Сборник задач, 9 класс, Галицкий, Гольдман, 2011, Обобщающие проверочные работы Задание: rabota 20