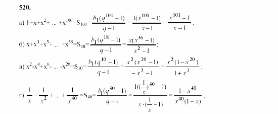
Главная / Готовые домашние задания (ГДЗ) / 9 класс / Алгебра / Мордкович, Мишустина / Параграф 16 Задание: 520
Ответ на Параграф 16 Задание: 520
Готовые домашние задания (ГДЗ) Алгебра Мордкович, Мишустина 9 класс

Алгебра
9 класс
Часть 2
Автор: Мордкович, Мишустина
Изд.: Мнемозина
Год: 2003
<< Предыдущее Вернуться к списку Следующее >> |
