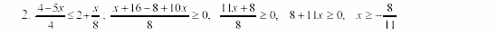
Главная / Готовые домашние задания (ГДЗ) / 9 класс / Алгебра / Мордкович, Мишустина / Вариант 2 Задание: 2
Ответ на Вариант 2 Задание: 2
Готовые домашние задания (ГДЗ) Алгебра Мордкович, Мишустина 9 класс
Алгебра
9 класс
Часть 2
Автор: Мордкович, Мишустина
Изд.: Мнемозина
Год: 2003
| << Предыдущее Вернуться к списку Следующее >> |