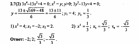
Главная / Готовые домашние задания (ГДЗ) / 9 класс / Алгебра / Кузнецова, Суворова / 2. Уравнения и системы уравнений Задание: 2.7(2)
Ответ на 2. Уравнения и системы уравнений Задание: 2.7(2)
Готовые домашние задания (ГДЗ) Алгебра Кузнецова, Суворова 9 класс

Алгебра
9 класс
Сборник заданий для подготовки к ГИА
Автор: Кузнецова, Суворова
Изд.: Просвещение
Год: 2010
<< Предыдущее Вернуться к списку Следующее >> |
