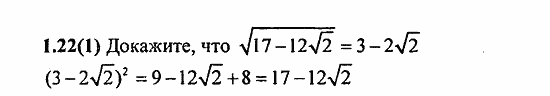
Главная / Готовые домашние задания (ГДЗ) / 9 класс / Алгебра / Кузнецова, Суворова / Раздел II. Задания для второй части экзаменационной работы, 1. Выражения и их преобразования Задание: 1.22(1)


Ответ на Раздел II. Задания для второй части экзаменационной работы, 1. Выражения и их преобразования Задание: 1.22(1)
Готовые домашние задания (ГДЗ) Алгебра Кузнецова, Суворова 9 класс

Сборник заданий для подготовки к ГИА, Кузнецова, Суворова, 2010

Алгебра

9 класс

Сборник заданий для подготовки к ГИА

Автор: Кузнецова, Суворова

Изд.: Просвещение

Год: 2010

<< Предыдущее Вернуться к списку Следующее >>
Сборник заданий для подготовки к ГИА, 9 класс, Кузнецова, Суворова, 2010, Раздел II. Задания для второй части экзаменационной работы, 1. Выражения и их преобразования Задание: 1.22(1)