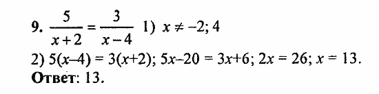
Главная / Готовые домашние задания (ГДЗ) / 9 класс / Алгебра / Кузнецова, Суворова / Вариант 2 Задание: 9
Ответ на Вариант 2 Задание: 9
Готовые домашние задания (ГДЗ) Алгебра Кузнецова, Суворова 9 класс
Алгебра
9 класс
Сборник заданий для подготовки к ГИА
Автор: Кузнецова, Суворова
Изд.: Просвещение
Год: 2010
| << Предыдущее Вернуться к списку Следующее >> |