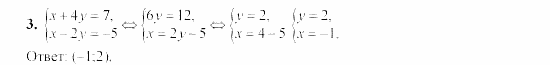
Главная / Готовые домашние задания (ГДЗ) / 9 класс / Алгебра / Кузнецова, Бунимович / Работа №59, Вариант 1 Задание: 3
Ответ на Работа №59, Вариант 1 Задание: 3
Готовые домашние задания (ГДЗ) Алгебра Кузнецова, Бунимович 9 класс

Алгебра
9 класс
Сборник заданий
Автор: Кузнецова, Бунимович
Изд.: Дрофа
Год: 2002
<< Предыдущее Вернуться к списку Следующее >> |
