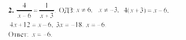
Главная / Готовые домашние задания (ГДЗ) / 9 класс / Алгебра / Кузнецова, Бунимович / Вариант 2 Задание: 2
Ответ на Вариант 2 Задание: 2
Готовые домашние задания (ГДЗ) Алгебра Кузнецова, Бунимович 9 класс
Алгебра
9 класс
Сборник заданий
Автор: Кузнецова, Бунимович
Изд.: Дрофа
Год: 2002
| << Предыдущее Вернуться к списку Следующее >> |