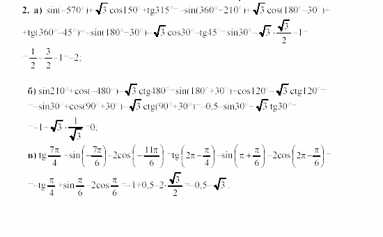
Главная / Готовые домашние задания (ГДЗ) / 9 класс / Алгебра / Макарычев, Миндюк / C-46 Задача: 2
Ответ на C-46 Задача: 2
Готовые домашние задания (ГДЗ) Алгебра Макарычев, Миндюк 9 класс
Алгебра
9 класс
Дидактические материалы
Автор: Макарычев, Миндюк
Изд.: Просвещение
Год: 2003
| << Предыдущее Вернуться к списку Следующее >> |