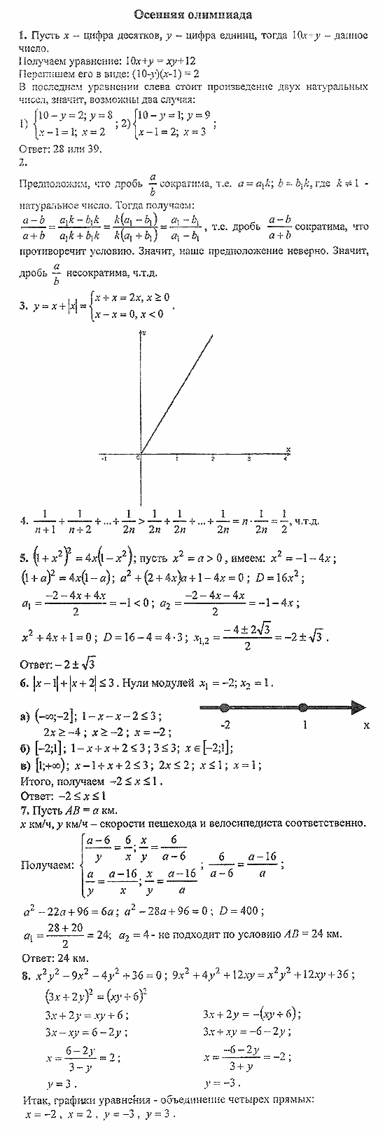
Главная / Готовые домашние задания (ГДЗ) / 9 класс / Алгебра / Макарычев, Миндюк / задания для олимпиад Задание: Осенняя олимпиада


Ответ на задания для олимпиад Задание: Осенняя олимпиада
Готовые домашние задания (ГДЗ) Алгебра Макарычев, Миндюк 9 класс

Дидактические материалы, Макарычев, Миндюк, 2005 / 2010

Алгебра

9 класс

Дидактические материалы

Автор: Макарычев, Миндюк

Изд.: Просвещение

Год: 2005 / 2010

<< Предыдущее Вернуться к списку 
Дидактические материалы, 9 класс, Макарычев, Миндюк, 2005 / 2010, задания для олимпиад Задание: Осенняя олимпиада