Главная / Готовые домашние задания (ГДЗ) / 9 класс / Алгебра / Макарычев, Миндюк / К-9 Задание: Вариант-4


Ответ на К-9 Задание: Вариант-4
Готовые домашние задания (ГДЗ) Алгебра Макарычев, Миндюк 9 класс

Дидактические материалы, Макарычев, Миндюк, 2005 / 2010

Алгебра

9 класс

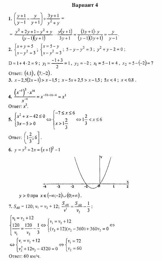
Дидактические материалы

Автор: Макарычев, Миндюк

Изд.: Просвещение

Год: 2005 / 2010

<< Предыдущее Вернуться к списку Следующее >>
Дидактические материалы, 9 класс, Макарычев, Миндюк, 2005 / 2010, К-9 Задание: Вариант-4