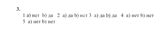
Главная / Готовые домашние задания (ГДЗ) / 9 класс / Английский язык / Дворецкая О.Б. Гроза О.Л. / Юнит 3, Урок 3 Задание: 3


Ответ на Юнит 3, Урок 3 Задание: 3
Готовые домашние задания (ГДЗ) Английский язык Дворецкая О.Б. Гроза О.Л. 9 класс

New Millennium English. Рабочая тетрадь, Дворецкая О.Б. Гроза О.Л., 2013

Английский язык

9 класс

New Millennium English. Рабочая тетрадь

Автор: Дворецкая О.Б. Гроза О.Л.

Изд.: Титул

Год: 2013

<< Предыдущее Вернуться к списку Следующее >>
New Millennium English. Рабочая тетрадь, 9 класс, Дворецкая О.Б. Гроза О.Л., 2013, Юнит 3, Урок 3 Задание: 3