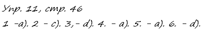
Главная / Готовые домашние задания (ГДЗ) / 9 класс / Английский язык / Биболетова / Юнит 3. CAN WE LEARN TO LIVE IN PEACE&, Задания из рабочей тетради, Section 1 Задача: 11


Ответ на Юнит 3. CAN WE LEARN TO LIVE IN PEACE&, Задания из рабочей тетради, Section 1 Задача: 11
Готовые домашние задания (ГДЗ) Английский язык Биболетова 9 класс

Enjoy English Students Book и WorkBook учебник / рабочая тетрадь, Биболетова, 2010

Английский язык

9 класс

Enjoy English Students Book и WorkBook учебник / рабочая тетрадь

Автор: Биболетова

Изд.: Титул

Год: 2010

<< Предыдущее Вернуться к списку Следующее >>
Enjoy English Students Book и WorkBook учебник / рабочая тетрадь, 9 класс, Биболетова, 2010, Юнит 3. CAN WE LEARN TO LIVE IN PEACE&, Задания из рабочей тетради, Section 1 Задача: 11