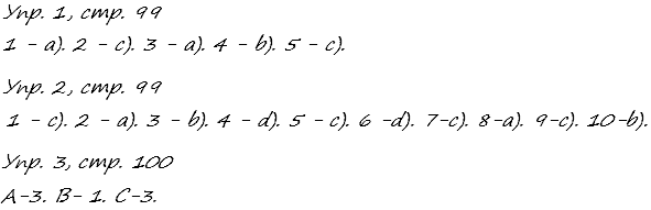
Главная / Готовые домашние задания (ГДЗ) / 9 класс / Английский язык / Биболетова / задания из учебника Задача: progress check 2


Ответ на задания из учебника Задача: progress check 2
Готовые домашние задания (ГДЗ) Английский язык Биболетова 9 класс

Enjoy English Students Book и WorkBook учебник / рабочая тетрадь, Биболетова, 2010

Английский язык

9 класс

Enjoy English Students Book и WorkBook учебник / рабочая тетрадь

Автор: Биболетова

Изд.: Титул

Год: 2010

<< Предыдущее Вернуться к списку Следующее >>
Enjoy English Students Book и WorkBook учебник / рабочая тетрадь, 9 класс, Биболетова, 2010, задания из учебника Задача: progress check 2