Главная / Готовые домашние задания (ГДЗ) / 9 класс / Алгебра / Ю.Н. Макарычев / Самостоятельные работы, Вариант 1, C-38, Задача: 7
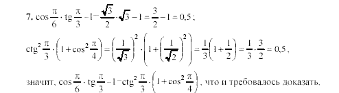
Ответ на Самостоятельные работы, Вариант 1, C-38, Задача: 7
Готовые домашние задания (ГДЗ) Алгебра Ю.Н. Макарычев 9 класс

Алгебра
9 класс
Дидактические материалы
Автор: Ю.Н. Макарычев
Изд.: Просвещение
Год: 2003-2005-2009
<< Предыдущее Вернуться к списку Следующее >> |
