Главная / Готовые домашние задания (ГДЗ) / 9 класс / Алгебра / Ю.Н. Макарычев / Контрольные работы, K-6A, Вариант 2, Задача: 2
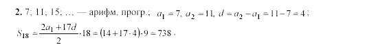
Ответ на Контрольные работы, K-6A, Вариант 2, Задача: 2
Готовые домашние задания (ГДЗ) Алгебра Ю.Н. Макарычев 9 класс

Алгебра
9 класс
Дидактические материалы
Автор: Ю.Н. Макарычев
Изд.: Просвещение
Год: 2003-2005-2009
<< Предыдущее Вернуться к списку Следующее >> |
