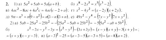
Главная / Готовые домашние задания (ГДЗ) / 9 класс / Алгебра / Ю.Н. Макарычев / Повторение к главам 7-9, Вариант 2, П-2, Задача: 2
Ответ на Повторение к главам 7-9, Вариант 2, П-2, Задача: 2
Готовые домашние задания (ГДЗ) Алгебра Ю.Н. Макарычев 9 класс

Алгебра
9 класс
Дидактические материалы
Автор: Ю.Н. Макарычев
Изд.: Просвещение
Год: 2003-2005-2009
<< Предыдущее Вернуться к списку Следующее >> |
