Главная / Готовые домашние задания (ГДЗ) / 9 класс / Английский язык / Афанасьева, Михеева / Unit 4 Задание: 11


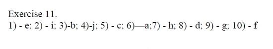
Ответ на Unit 4 Задание: 11
Готовые домашние задания (ГДЗ) Английский язык Афанасьева, Михеева 9 класс

Student's Book, Афанасьева, Михеева, 2003 - 2010

Английский язык

9 класс

Student's Book

Автор: Афанасьева, Михеева

Изд.: Просвещение

Год: 2003 - 2010

<< Предыдущее Вернуться к списку Следующее >>
Student's Book, 9 класс, Афанасьева, Михеева, 2003 - 2010, Unit 4 Задание: 11