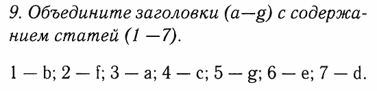
Главная / Готовые домашние задания (ГДЗ) / 9 класс / Английский язык / Афанасьева, Михеева / Учебник (Steps), Раздел 2. Печатная страница: книги, журналы, газеты, Часть 4 Задача: 9


Ответ на Учебник (Steps), Раздел 2. Печатная страница: книги, журналы, газеты, Часть 4 Задача: 9
Готовые домашние задания (ГДЗ) Английский язык Афанасьева, Михеева 9 класс

Учебник и Рабочая тетрадь, Афанасьева, Михеева, 2008-2013

Английский язык

9 класс

Учебник и Рабочая тетрадь

Автор: Афанасьева, Михеева

Изд.: Дрофа

Год: 2008-2013

<< Предыдущее Вернуться к списку Следующее >>
Учебник и Рабочая тетрадь, 9 класс, Афанасьева, Михеева, 2008-2013, Учебник (Steps), Раздел 2. Печатная страница: книги, журналы, газеты, Часть 4 Задача: 9