Главная / Готовые домашние задания (ГДЗ) / 9 класс / Химия / Минченков Е.Е. Цветков Л.А. / задание: 5 - 6


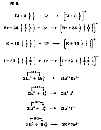
Ответ на задание: 5 - 6
Готовые домашние задания (ГДЗ) Химия Минченков Е.Е. Цветков Л.А. 9 класс

Химия, Минченков Е.Е. Цветков Л.А., 2000

Химия

9 класс

Автор: Минченков Е.Е. Цветков Л.А.

Изд.: АССОЦИАЦИЯ 21 ВЕК

Год: 2000

<< Предыдущее Вернуться к списку Следующее >>
Химия, 9 класс, Минченков Е.Е. Цветков Л.А., 2000, задание: 5 - 6