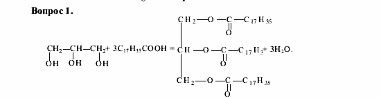
Главная / Готовые домашние задания (ГДЗ) / 9 класс / Химия / О.С. Габриелян / § 39 Задание: 1
Ответ на § 39 Задание: 1
Готовые домашние задания (ГДЗ) Химия О.С. Габриелян 9 класс

Химия
9 класс
Автор: О.С. Габриелян
Изд.: Дрофа
Год: 2011 / 2004
<< Предыдущее Вернуться к списку Следующее >> |
