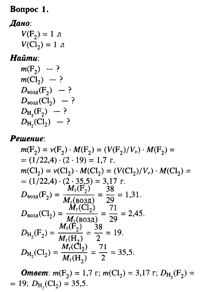
Главная / Готовые домашние задания (ГДЗ) / 9 класс / Химия / Габриелян, Лысова / Параграф 18 (Глава третья. Неметаллы. § 18. Галогены) Задача: 1


Ответ на Параграф 18 (Глава третья. Неметаллы. § 18. Галогены) Задача: 1
Готовые домашние задания (ГДЗ) Химия Габриелян, Лысова 9 класс

Химия, Габриелян, Лысова, 2002-2012

Химия

9 класс

Автор: Габриелян, Лысова

Изд.: Дрофа

Год: 2002-2012

<< Предыдущее Вернуться к списку Следующее >>
Химия, 9 класс, Габриелян, Лысова, 2002-2012, Параграф 18  (Глава третья. Неметаллы. § 18. Галогены) Задача: 1