Главная / Готовые домашние задания (ГДЗ) / 9 класс / Химия / Радецкий, Горшкова / Вариант 3 Задача: 2
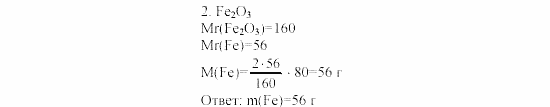
Ответ на Вариант 3 Задача: 2
Готовые домашние задания (ГДЗ) Химия Радецкий, Горшкова 9 класс
Химия
9 класс
Дидактические материалы
Автор: Радецкий, Горшкова
Изд.: Просвещение
Год: 2000-2012
| << Предыдущее Вернуться к списку Следующее >> |