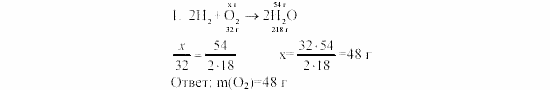
Главная / Готовые домашние задания (ГДЗ) / 9 класс / Химия / Радецкий, Горшкова / Вариант 2 Задача: 1


Ответ на Вариант 2 Задача: 1
Готовые домашние задания (ГДЗ) Химия Радецкий, Горшкова 9 класс

Дидактические материалы, Радецкий, Горшкова, 2000-2012

Химия

9 класс

Дидактические материалы

Автор: Радецкий, Горшкова

Изд.: Просвещение

Год: 2000-2012

<< Предыдущее Вернуться к списку Следующее >>
Дидактические материалы, 9 класс, Радецкий, Горшкова, 2000-2012, Вариант 2 Задача: 1