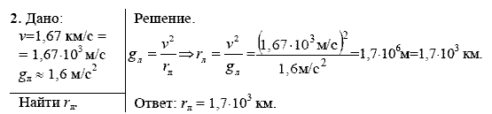
Главная / Готовые домашние задания (ГДЗ) / 9 класс / Физика / Перышкин А.В. Гутник Е.М. / Упражнение 19 Задание: 2


Ответ на Упражнение 19 Задание: 2
Готовые домашние задания (ГДЗ) Физика Перышкин А.В. Гутник Е.М. 9 класс

Физика, Перышкин А.В. Гутник Е.М., 2010

Физика

9 класс

Автор: Перышкин А.В. Гутник Е.М.

Изд.: Дрофа

Год: 2010

<< Предыдущее Вернуться к списку Следующее >>
Физика, 9 класс, Перышкин А.В. Гутник Е.М., 2010, Упражнение 19 Задание: 2