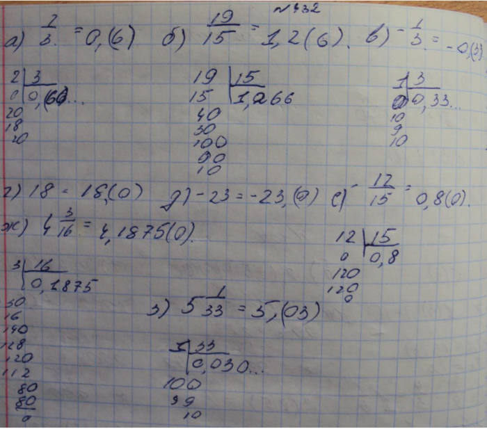
Главная / Готовые домашние задания (ГДЗ) / 8 класс / Алгебра / Макарычев / задание: 432


Ответ на задание: 432
Готовые домашние задания (ГДЗ) Алгебра Макарычев 8 класс

Профильный уровень, Макарычев, 2015

Алгебра

8 класс

Профильный уровень

Автор: Макарычев

Изд.: Мнемозина

Год: 2015

<< Предыдущее Вернуться к списку Следующее >>
Профильный уровень, 8 класс, Макарычев, 2015, задание: 432