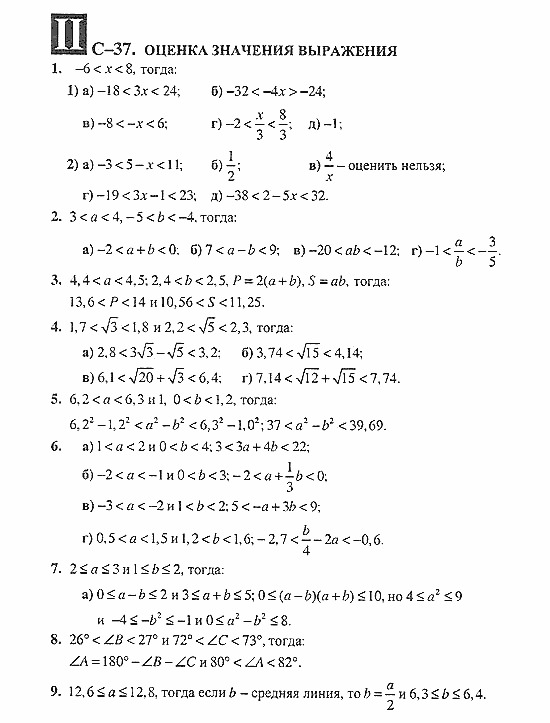
Главная / Готовые домашние задания (ГДЗ) / 8 класс / Алгебра / Жохов, Макарычев / Вариант 2 Задание: С-37


Ответ на Вариант 2 Задание: С-37
Готовые домашние задания (ГДЗ) Алгебра Жохов, Макарычев 8 класс

Дидактические материалы, Жохов, Макарычев, 2008

Алгебра

8 класс

Дидактические материалы

Автор: Жохов, Макарычев

Изд.: Просвещение

Год: 2008

<< Предыдущее Вернуться к списку Следующее >>
Дидактические материалы, 8 класс, Жохов, Макарычев, 2008, Вариант 2 Задание: С-37