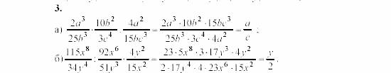
Главная / Готовые домашние задания (ГДЗ) / 8 класс / Алгебра / Жохов, Макарычев / C-10 Задача: 3
Ответ на C-10 Задача: 3
Готовые домашние задания (ГДЗ) Алгебра Жохов, Макарычев 8 класс
Алгебра
8 класс
Автор: Жохов, Макарычев
Изд.: Просвещение
Год: 2011 / 2003
| << Предыдущее Вернуться к списку Следующее >> |