Главная / Готовые домашние задания (ГДЗ) / 8 класс / Алгебра / Жохов, Макарычев / К-9А, Вариант 1 Задача: 4


Ответ на К-9А, Вариант 1 Задача: 4
Готовые домашние задания (ГДЗ) Алгебра Жохов, Макарычев 8 класс

Алгебра, Жохов, Макарычев, 2011 / 2003

Алгебра

8 класс

Автор: Жохов, Макарычев

Изд.: Просвещение

Год: 2011 / 2003

<< Предыдущее Вернуться к списку Следующее >>
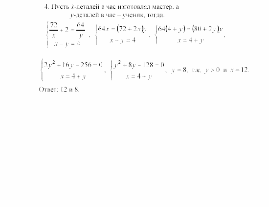
Алгебра, 8 класс, Жохов, Макарычев, 2011 / 2003, К-9А, Вариант 1 Задача: 4