Главная / Готовые домашние задания (ГДЗ) / 8 класс / Геометрия / Атанасян Л.С. / задание: 501


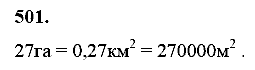
Ответ на задание: 501
Готовые домашние задания (ГДЗ) Геометрия Атанасян Л.С. 8 класс

Геометрия, Атанасян Л.С., 2014 - 2016

Геометрия

8 класс

Автор: Атанасян Л.С.

Изд.: Просвещение

Год: 2014 - 2016

<< Предыдущее Вернуться к списку Следующее >>
Геометрия, 8 класс, Атанасян Л.С., 2014 - 2016, задание: 501