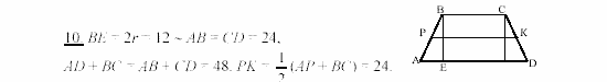
Главная / Готовые домашние задания (ГДЗ) / 8 класс / Геометрия / Зив, Мейлер / Математические диктанты, MD-5, Вариант 2 Задание: 10


Ответ на Математические диктанты, MD-5, Вариант 2 Задание: 10
Готовые домашние задания (ГДЗ) Геометрия Зив, Мейлер 8 класс

Дидактические материалы, Зив, Мейлер, 2001-2011

Геометрия

8 класс

Дидактические материалы

Автор: Зив, Мейлер

Изд.: Просвещение

Год: 2001-2011

<< Предыдущее Вернуться к списку 
Дидактические материалы, 8 класс, Зив, Мейлер, 2001-2011, Математические диктанты, MD-5, Вариант 2 Задание: 10