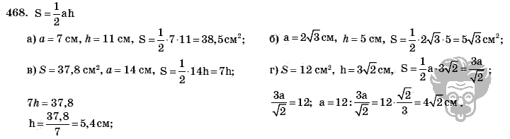
Главная / Готовые домашние задания (ГДЗ) / 8 класс / Геометрия / Л.С. Атанасян / задача: 468


Ответ на задача: 468
Готовые домашние задания (ГДЗ) Геометрия Л.С. Атанасян 8 класс

Геометрия, Л.С. Атанасян, 2009

Геометрия

8 класс

Автор: Л.С. Атанасян

Изд.: Просвещение

Год: 2009

<< Предыдущее Вернуться к списку Следующее >>
Геометрия, 8 класс, Л.С. Атанасян, 2009, задача: 468