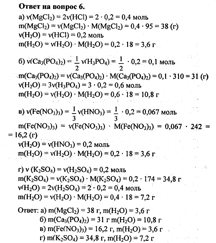
Главная / Готовые домашние задания (ГДЗ) / 8 класс / Химия / Минченков, Зазнобина, Смирнова / §17 Задача: 6


Ответ на §17 Задача: 6
Готовые домашние задания (ГДЗ) Химия Минченков, Зазнобина, Смирнова 8 класс

Химия, Минченков, Зазнобина, Смирнова, 2005

Химия

8 класс

Автор: Минченков, Зазнобина, Смирнова

Изд.: Мнемозина

Год: 2005

<< Предыдущее Вернуться к списку Следующее >>
Химия, 8 класс, Минченков, Зазнобина, Смирнова, 2005, §17 Задача: 6