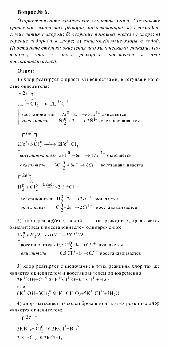
Главная / Готовые домашние задания (ГДЗ) / 8 класс / Химия / Рудзитис, Фельдман / Глава IX, задачи к §§46,47 (стр. 145) Задача: Вопрос № 6
Ответ на Глава IX, задачи к §§46,47 (стр. 145) Задача: Вопрос № 6
Готовые домашние задания (ГДЗ) Химия Рудзитис, Фельдман 8 класс

Химия
8 класс
Автор: Рудзитис, Фельдман
Изд.: Просвещение
Год: 2001-2012
<< Предыдущее Вернуться к списку Следующее >> |
