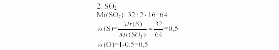
Главная / Готовые домашние задания (ГДЗ) / 8 класс / Химия / Радецкий, Горшкова / Тема I, Работа 7, Вариант 1 Задание: 2


Ответ на Тема I, Работа 7, Вариант 1 Задание: 2
Готовые домашние задания (ГДЗ) Химия Радецкий, Горшкова 8 класс

Дидактические материалы, Радецкий, Горшкова, 2000

Химия

8 класс

Дидактические материалы

Автор: Радецкий, Горшкова

Изд.: Просвещение

Год: 2000

<< Предыдущее Вернуться к списку Следующее >>
Дидактические материалы, 8 класс, Радецкий, Горшкова, 2000, Тема I, Работа 7, Вариант 1 Задание: 2