Главная / Готовые домашние задания (ГДЗ) / 8 класс / Физика / Перышкин А.В. / задача: 856


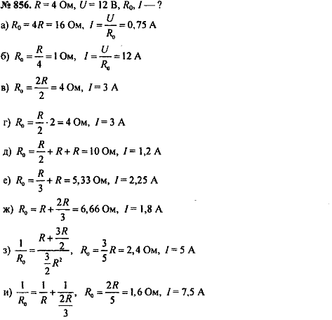
Ответ на задача: 856
Готовые домашние задания (ГДЗ) Физика Перышкин А.В. 8 класс

Сборник задач, Перышкин А.В., 2010

Физика

8 класс

Сборник задач

Автор: Перышкин А.В.

Год: 2010

<< Предыдущее Вернуться к списку Следующее >>
Сборник задач, 8 класс, Перышкин А.В., 2010, задача: 856