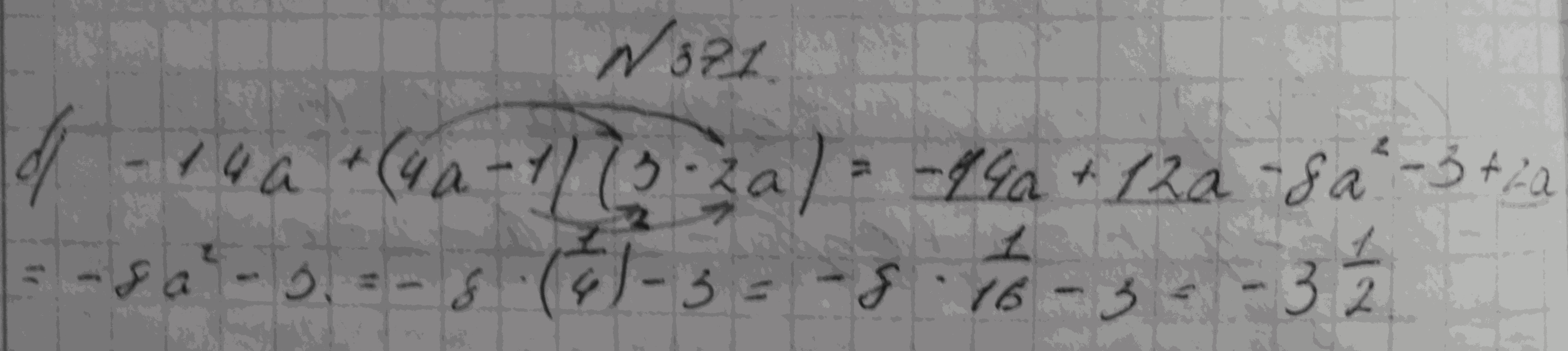
Главная / Готовые домашние задания (ГДЗ) / 7 класс / Алгебра / Макарычев / задание: 371б


Ответ на задание: 371б
Готовые домашние задания (ГДЗ) Алгебра Макарычев 7 класс

Алгебра, Макарычев, 2015

Алгебра

7 класс

Автор: Макарычев

Изд.: Мнемозина

Год: 2015

<< Предыдущее Вернуться к списку Следующее >>
Алгебра, 7 класс, Макарычев, 2015, задание: 371б