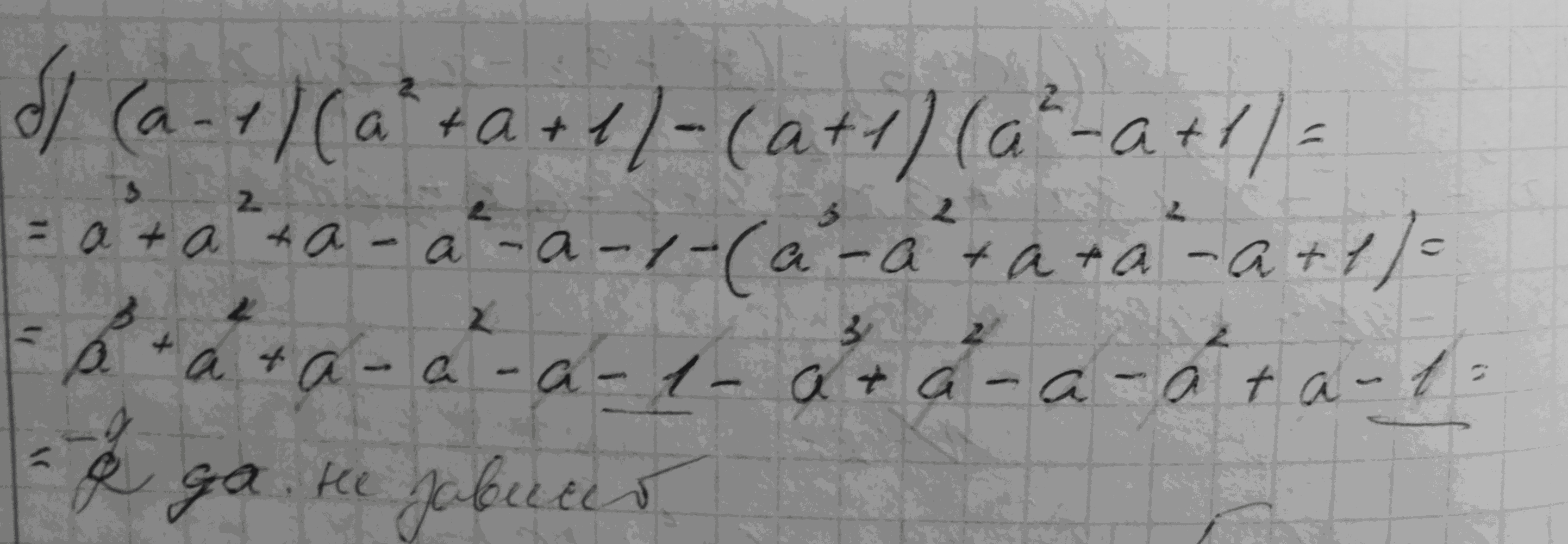
Главная / Готовые домашние задания (ГДЗ) / 7 класс / Алгебра / Макарычев / задание: 423б
Ответ на задание: 423б
Готовые домашние задания (ГДЗ) Алгебра Макарычев 7 класс

Алгебра
7 класс
Автор: Макарычев
Изд.: Мнемозина
Год: 2015
<< Предыдущее Вернуться к списку Следующее >> |
