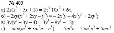
Главная / Готовые домашние задания (ГДЗ) / 7 класс / Алгебра / А.Г. Мордкович, Т.Н. Мишустина, Е.Е. Тульчинская / задание: 403
Ответ на задание: 403
Готовые домашние задания (ГДЗ) Алгебра А.Г. Мордкович, Т.Н. Мишустина, Е.Е. Тульчинская 7 класс

Алгебра
7 класс
Автор: А.Г. Мордкович, Т.Н. Мишустина, Е.Е. Тульчинская
Изд.: Мнемозина
Год: 2003
<< Предыдущее Вернуться к списку Следующее >> |
