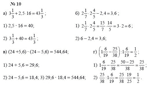
Главная / Готовые домашние задания (ГДЗ) / 7 класс / Алгебра / А.Г. Мордкович, Т.Н. Мишустина, Е.Е. Тульчинская / задание: 10


Ответ на задание: 10
Готовые домашние задания (ГДЗ) Алгебра А.Г. Мордкович, Т.Н. Мишустина, Е.Е. Тульчинская 7 класс

Алгебра, А.Г. Мордкович, Т.Н. Мишустина, Е.Е. Тульчинская, 2003

Алгебра

7 класс

Автор: А.Г. Мордкович, Т.Н. Мишустина, Е.Е. Тульчинская

Изд.: Мнемозина

Год: 2003

<< Предыдущее Вернуться к списку Следующее >>
Алгебра, 7 класс, А.Г. Мордкович, Т.Н. Мишустина, Е.Е. Тульчинская, 2003, задание: 10