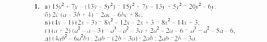
Главная / Готовые домашние задания (ГДЗ) / 7 класс / Алгебра / Звавич, Кузнецова / VAR27_2K4A Задание: 1
Ответ на VAR27_2K4A Задание: 1
Готовые домашние задания (ГДЗ) Алгебра Звавич, Кузнецова 7 класс

Алгебра
7 класс
Дидактические материалы
Автор: Звавич, Кузнецова
Изд.: Мнемозина
Год: 2003
<< Предыдущее Вернуться к списку Следующее >> |
