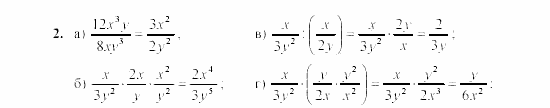
Главная / Готовые домашние задания (ГДЗ) / 7 класс / Алгебра / Звавич, Кузнецова / C-55 Задание: 2


Ответ на C-55 Задание: 2
Готовые домашние задания (ГДЗ) Алгебра Звавич, Кузнецова 7 класс

Дидактические материалы, Звавич, Кузнецова, 2003

Алгебра

7 класс

Дидактические материалы

Автор: Звавич, Кузнецова

Изд.: Мнемозина

Год: 2003

<< Предыдущее Вернуться к списку Следующее >>
Дидактические материалы, 7 класс, Звавич, Кузнецова, 2003, C-55 Задание: 2