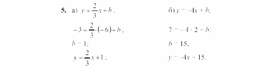
Главная / Готовые домашние задания (ГДЗ) / 7 класс / Алгебра / Звавич, Кузнецова / C-16 Задание: 5
Ответ на C-16 Задание: 5
Готовые домашние задания (ГДЗ) Алгебра Звавич, Кузнецова 7 класс
Алгебра
7 класс
Дидактические материалы
Автор: Звавич, Кузнецова
Изд.: Мнемозина
Год: 2003
| << Предыдущее Вернуться к списку Следующее >> |