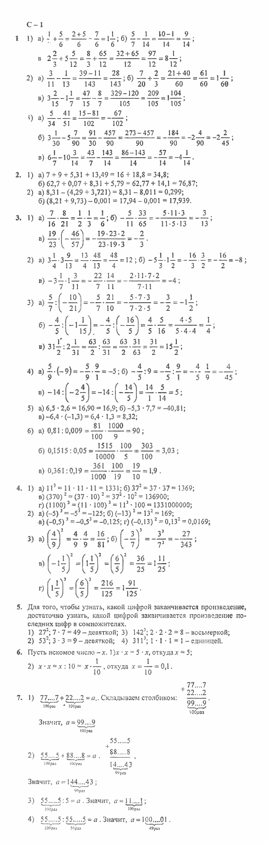
Главная / Готовые домашние задания (ГДЗ) / 7 класс / Алгебра / Звавич, Кузнецова / Самостоятельные работы, Вариант I Задание: с-1


Ответ на Самостоятельные работы, Вариант I Задание: с-1
Готовые домашние задания (ГДЗ) Алгебра Звавич, Кузнецова 7 класс

Дидактические материалы, Звавич, Кузнецова, 2011

Алгебра

7 класс

Дидактические материалы

Автор: Звавич, Кузнецова

Изд.: Мнемозина

Год: 2011

Вернуться к списку Следующее >>
Дидактические материалы, 7 класс, Звавич, Кузнецова, 2011, Самостоятельные работы, Вариант  I Задание: с-1