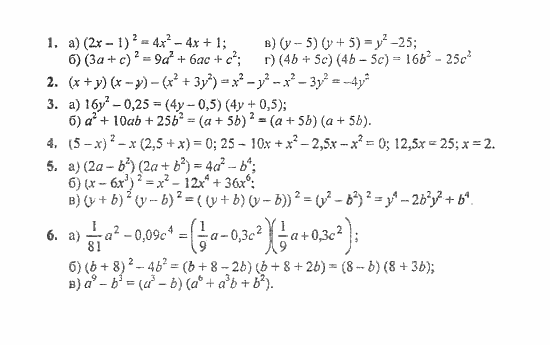
Главная / Готовые домашние задания (ГДЗ) / 7 класс / Алгебра / Звавич, Кузнецова / K-7 Задание: Вариант 4


Ответ на K-7 Задание: Вариант 4
Готовые домашние задания (ГДЗ) Алгебра Звавич, Кузнецова 7 класс

Дидактические материалы, Звавич, Кузнецова, 2011

Алгебра

7 класс

Дидактические материалы

Автор: Звавич, Кузнецова

Изд.: Мнемозина

Год: 2011

<< Предыдущее Вернуться к списку Следующее >>
Дидактические материалы, 7 класс, Звавич, Кузнецова, 2011, K-7 Задание: Вариант 4