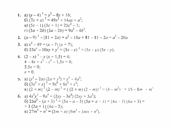
Главная / Готовые домашние задания (ГДЗ) / 7 класс / Алгебра / Звавич, Кузнецова / K-7 Задание: Вариант 1
Ответ на K-7 Задание: Вариант 1
Готовые домашние задания (ГДЗ) Алгебра Звавич, Кузнецова 7 класс

Алгебра
7 класс
Дидактические материалы
Автор: Звавич, Кузнецова
Изд.: Мнемозина
Год: 2011
<< Предыдущее Вернуться к списку Следующее >> |
