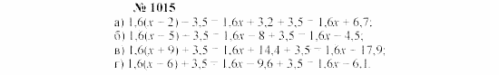
Главная / Готовые домашние задания (ГДЗ) / 7 класс / Алгебра / Мордкович, Мишустина / §34 Задача: 1015


Ответ на §34 Задача: 1015
Готовые домашние задания (ГДЗ) Алгебра Мордкович, Мишустина 7 класс

Часть 2: задачник, Мордкович, Мишустина, 2003

Алгебра

7 класс

Часть 2: задачник

Автор: Мордкович, Мишустина

Изд.: Мнемозина

Год: 2003

<< Предыдущее Вернуться к списку Следующее >>
Часть 2: задачник, 7 класс, Мордкович, Мишустина, 2003, §34 Задача: 1015